How many chords can we make?
I was curious about the number of chords that are possible with ten fingers on a standard keyboard and for other tuning systems. This was my prompt:
"Count the number of possible chord combinations across the 88 keys on a standard keyboard, with a maximum of 10 notes per chord (so all 2-note combinations, plus 3-note combinations, etc. up to 10-note chords). From a quick Google search, this is 7 1/4 octaves. Show the math for this calculation.
Then follow the same process for two of the more popular microtuning systems that do not have 12 notes per octave, covering the equivalent of 7 1/4 octaves (or close to this)."
This was the response from Manus AI:
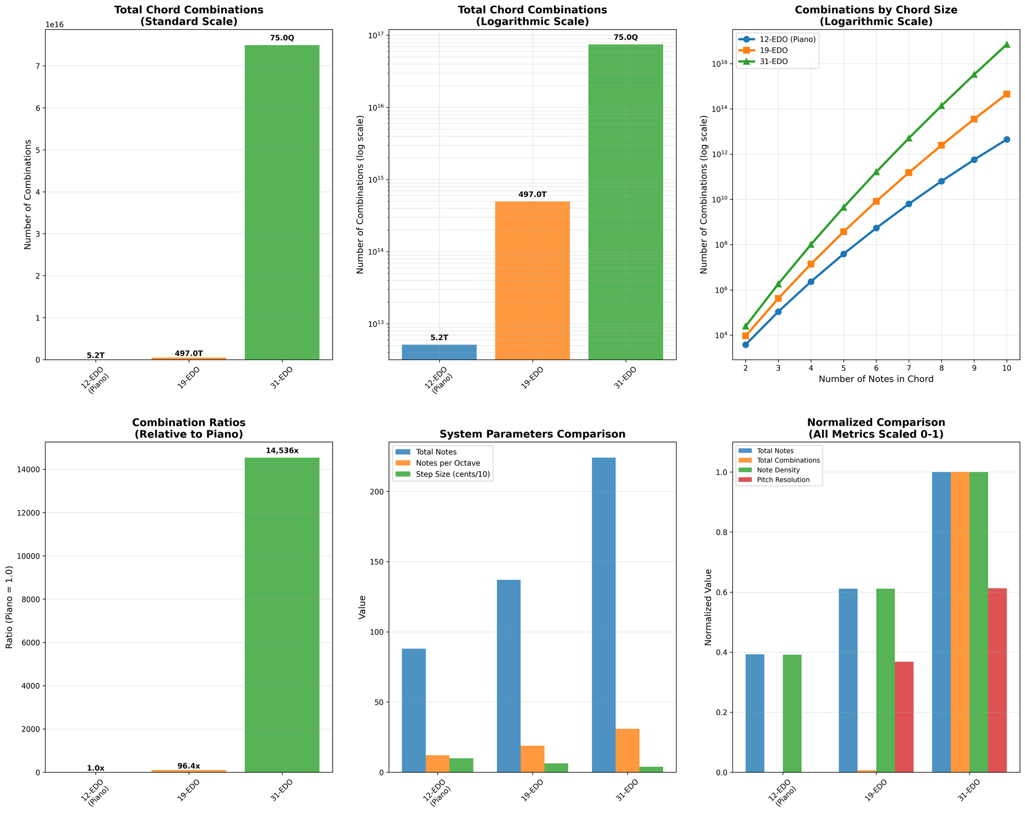
"I've completed the comprehensive mathematical analysis of chord combinations across different tuning systems. Here are the key findings:Standard 88-Key Piano (12-EDO):
- Total combinations: 5,156,227,011,441 (over 5.15 trillion)
- Range: 7.25 octaves with 88 keys
- Step size: 100 cents per semitone
19-Tone Equal Temperament (19-EDO):
- Total combinations: 497,022,505,597,270 (497 trillion)
- Range: 137 notes over 7.25 octaves
- Step size: 63.16 cents per step
- 96.39x more combinations than standard piano
31-Tone Equal Temperament (31-EDO):
- Total combinations: 74,952,904,195,135,516 (75 quadrillion)
- Range: 224 notes over 7.25 octaves
- Step size: 38.71 cents per step
- 14,536x more combinations than standard piano
The analysis reveals exponential growth in harmonic possibilities as pitch resolution increases. The attached comprehensive report includes detailed mathematical breakdowns, comparative analysis, and theoretical implications. The Python script contains all calculations with step-by-step mathematical explanations."


Just...WOW!